多物理场联合重磁电震综合地球物理一体化勘探是破解深层-超深层探测难题的唯一途径,也是勘探地球物理技术发展的主流之一,但长期以来进展缓慢,多表现为重磁电震联合解释,多物理场联合反演并未实现真正的有机结合和相互制约。究其原因,存在理论瓶颈:多物理场耦合机制和同步响应机理的理论尚未建立。针对这一问题,本研究通过同时测量五块盐水饱和Berea砂岩在25 ℃至140 ℃温度变化下的纵波速度、电导率和孔隙度,探究温度对含流体多孔岩石弹性-电性联合性质的影响。实验发现:随着温度的升高,纵波速度先随电导率增加而增加,然后降低,呈现出局部最大值。进一步研究表明,温度诱导的弹性-电性联合性质变化主要取决于纵波速度对温度的依赖关系,而电导率随温度呈强烈的线性增加。综合分析表明,纵波速度随温度变化取决于孔隙纵横比、饱和流体和岩石孔隙度的热效应,影响顺序依次递减。

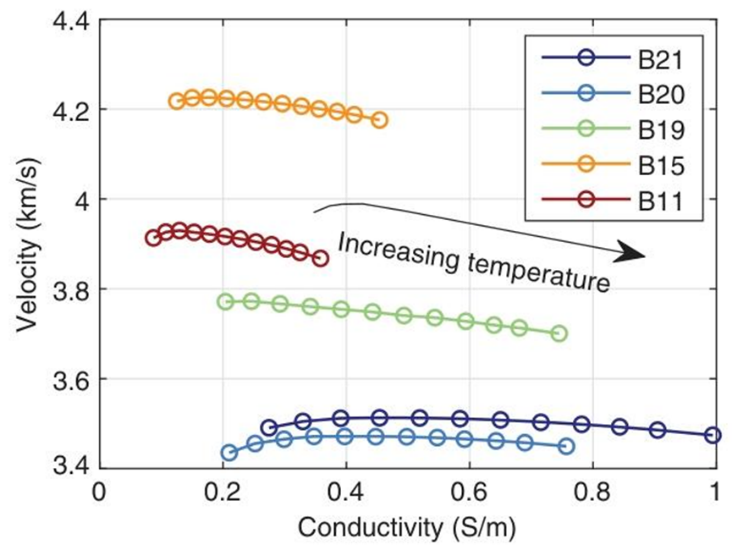
图1.五块盐水饱和Berea砂岩样品的实测纵波速度与电导率之间的相关性(以温度为隐函数)
箭头指示温度升高的方向

图2.(a)孔隙压力为1 MPa时,35 g/L氯化钠盐水的纵波速度与电导率随温度变化的模拟结果;(b)二者以温度为隐函数的联合相关性。箭头指示温度升高的方向。其中,弹性性质(纵波速度)的模拟依据Batzle和Wang(1992)的研究,电学性质(电导率)的模拟依据Sen 和Goode(1992)的研究
本文揭示了高温多孔裂缝砂岩的弹性-电性协同响应机理,为高温环境地震与电法综合勘探提供科学依据。研究成果近期发表在勘探地球物理国际权威期刊Geophysics。论文第一作者和通讯作者为伟德国际1946官网韩同城教授,合作者包括伟德BEVlCTOR1946硕士研究生杜孖轩、何海铭、以及伟德BEVlCTOR1946符力耘教授。
论文信息:Tongcheng Han, Zixuan Du, Haiming He, Li-Yun Fu, 2025. Temperature effects on the joint elastic-electrical properties of Berea sandstones. Geophysics. https://doi.org/10.1190/geo2024-0757.1.